46+ Contoh Soal Tabel Bunga Majemuk

Diketahui modal = 1.000.000 dan bunga majemuk 5% pertahun. Bunga Majemuk Pengertian Rumus Dan Contoh Soal
Bunga Majemuk Pengertian Rumus Dan Contoh Soal from rumus.co.id

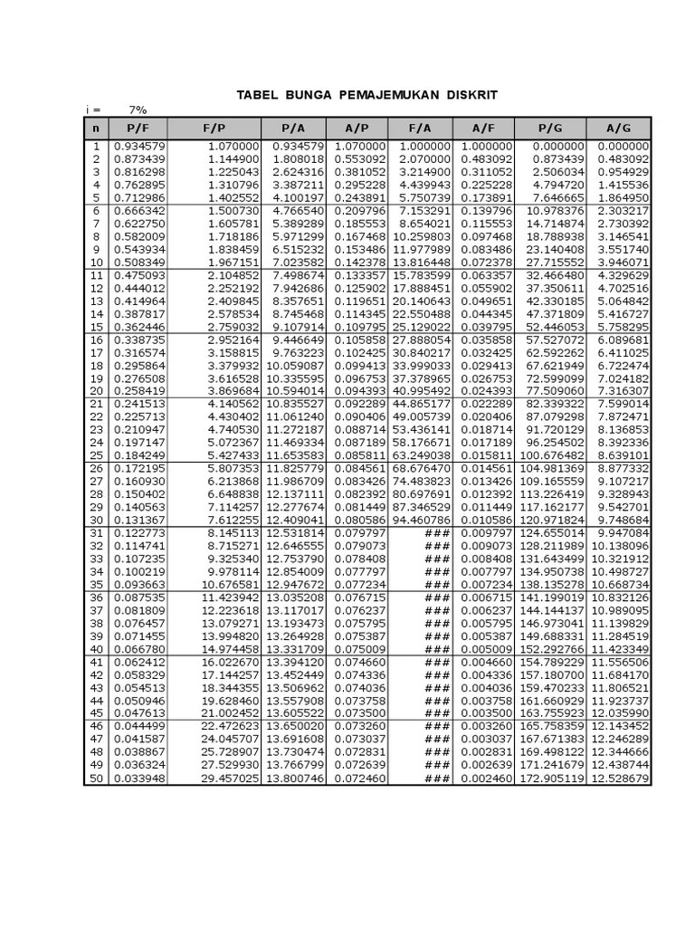
46+ Contoh Soal Tabel Bunga Majemuk. Dimana suku bunga majemuk serta bunga tunggal … 27/10/2021 · soal bunga majemuk soal bunga majemuk1. Tentukan bunga majemuk pada kondisi seperti berikut = modal rp 1.000,00 selama 3 tahun dengan bunga majemuk 5%. Jadi jumlah total bunga majemuk yang akan didapatkan oleh nasabah bank tersebut setelah 6 tahun menabung adalah sebesar rp 3.857.805. 15/10/2016 · bunga majemuk merupakan bunga yang menjadi pokok dari suatu simpanan. Istilah yang sering digunakan adalah bunga berbunga. Pembahasan lebih mendalam tentang teori ini sudah kita bahas dalam artikel saya tentang bunga majemuk. Modal sebesar rp 4.000.000,00 di simpan di bank dengan suku bunga majemuk 10% setahun.dengan bantuan tabel di b. Pada artikel kali ini kita hanya berfokus pada latihan soal dan pemecahannya. Diketahui modal = 1.000.000 dan bunga majemuk 5% pertahun.

0 Response to "46+ Contoh Soal Tabel Bunga Majemuk"

Posting Komentar

Iklan Atas Artikel

Iklan Tengah Artikel 1

Iklan Tengah Artikel 2

Iklan Bawah Artikel